What Is a Retention Rate? Why It Amplifies Growth but Can't Drive It
The math behind why even 99% retention won't give you a hockey stick
Quick Answer: A retention rate measures the percentage of customers you keep over time, but as product managers, we should recognize it functions as a growth amplifier, not a standalone engine. Even a 99% retention rate produces limited, asymptotic growth — never the exponential hockey stick startups chase. Retention always requires customer acquisition to work, and whether it’s sufficient depends entirely on your level of ambition: set a specific revenue goal, calculate the retention rate needed using a simple formula, then make an honest persevere, pivot, or kill decision.
Paid, retention, viral. Those are the three “engines of growth” suggested by Eric Ries in The Startup Way. Companies can pick one of the three to be great at, but they generally can’t manage more than that.
Why? How do these engines work with your innovation strategy? How do they differ and what are their limitations? This is the first of three posts on these engines, starting with retention. I’ll explain each with some basic Innovation Accounting. There will be math, but do not panic! I will crunch the numbers for you.
A Retention Rate Primer
Retention is a great engine of growth for early-stage innovation projects. If we acquire 1,000 customers each month and retain 50% of them, we wind up getting much more than 1,000 per month.
Organic Users Acquired
Users Retained from the Previous Month
Total Users
Month 1
1,000
0
1,000
Month 2
1,000
500
1,500
Month 3
1,000
750
1,750
Month 4
1,000
875
1,875
We will double our number of customers within 12 months — an annual growth rate of 100%. That’s certainly impressive. We can use the same logic from our table above to draw a graph with a spreadsheet and see this growth over time. Organic Users Acquired (1000 per month) + Users Retained from the Previous Month = Total Users. This is a self-reinforcing loop. As the Total Users goes up, the Users Retained goes up; and the more Users we retain, the higher number of Total Users. But here’s the problem:
This is not the hockey stick graph that young tech startups look for. While this may be a profitable and sustainable business, it has limited growth. Growth via retention approaches a limit that it cannot escape. It simply comes down to the math. If acquisition is happening at a fixed organic rate, and there are no other engines of growth operating, then retention alone will never result in exponential growth. Even a company with 99% retention will approach a maximum limit (also known as an asymptote) over a long enough period of time.
Only companies with a retention rate of 100% can achieve unlimited growth. But the only places with 100% retention rates are the IRS and the graveyard, and even the former eventually loses its customers to the latter.
A Good Retention Rate Still Needs Acquisition
Retention is less an engine of growth than an amplifier of growth. A startup with 100% retention but 0% acquisition will retain every user it gets, but will have zero users forever because it never acquires any in the first place. The axiom is true: it’s easier to keep existing customers than to acquire new ones. But a startup with no user acquisition strategy cannot rely on retention to drive growth. Retention only allows you to keep what you’ve fought for. It always makes sense to try to keep your customers, but we cannot grow without user acquisition.
What’s Your Level of Ambition?
This is not to say that retention isn’t a valuable focus for a company. A company with a 99% retention rate is probably a company worth investing in. But of course, most companies never achieve that level of retention. Take streaming services, a wildly popular domain whose retention rates are relatively high. But the most popular ones, Disney+ and Netflix, only have retention rates of 74%. Even the most loyalty-driven industries — media and professional services — only hang on to 84% of their customers. But whether retention is a sufficient engine of growth or not depends on the startup’s level of ambition. If the goal is to achieve the unlimited growth of an exponential hockey stick, then retention alone will not do it. If the goals are to be sustainable, to have an impact, and to be profitable, then retention may be sufficient.
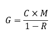
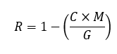
We can even calculate what level of retention will be necessary to achieve an arbitrary goal within a specific time period. Over time, the revenue-per-month will converge to a maximum limit (asymptote) as we mentioned above. So we can construct a general formula to determine the exact limit of revenue-per-month based on any given retention rate. (Here comes the math, or you can just take my word for it and skip to where it says “That’s it for the math” below.) C : Monthly Customer acquisition M : Monthly revenue per user G : Monthly revenue Goal R : Desired Retention rate
Flipping this equation around to solve for the retention rate, we get:
So if a company earns $20 per user per month, and acquires 1,000 users per month, with a goal of earning $100,000 per month, then we need an 80% retention rate to hit that target. A challenging, but not impossible target to hit.
That’s it for the math! For those less inclined to do your own math, no worries! Just use trial and error on a spreadsheet like our basic financial modeling template. Set the referral metric to 0% to focus on retention. Then put in different numbers for retention until you see the revenue per month equal or exceed $100,000 per month. We could also modify this formula if our level of ambition requires us to reach that level of revenue by a specific date.
Experiments with Retention Rates
By setting our level of ambition, we can also set specific goals for our metrics. This gives us a very specific target for retention that we can then run experiments on. If we have determined that our retention rate required for a given level of ambition is 50%, and we run an experiment to determine that our retention rate is actually 30%, we have a clear business model failure. At this point, we have a few “official” lean startup options:
- Persevere - Continue running experiments to improve the retention rate.
- Pivot - Choose a different engine of growth.
- Kill - We will not achieve our level of ambition. Let it die.
Adjust Your Expectations
At the risk of angering the tech community that sees anything less than exponential growth as an utter failure, there is another, “unofficial” option: we can change our level of ambition.
Exponential growth is not exactly a goal if the endpoint is not defined. It is unlimited growth for unlimited ambition. The goal is not specific and achievable, it is growth for the sake of growth. This level of ambition is not satisfied with three Tesla roadsters — there is always room for a ‘vette in the garage. And if there isn’t room, you can afford a bigger garage. But at some point, earning another million (or even billion) dollars has diminishing returns. You can only drive one car at a time. As an engine of growth, retention is often the easiest of the three — retaining a customer is easier than acquiring a new one. But retention alone will always result in limited growth. Consider your level of ambition and be honest with what will satisfy you. If retention alone will not achieve your ambition, then a pivot is required. It’s a good idea to set goals before running experiments, when we’re calm, collected, and rational. It’s generally a bad idea to adjust expectations after seeing the data — that behavior leads to a false-positive bias. But if your ambition is to make $10 million dollars per month and you’re only making $5 million, isn’t that enough? If you are of the “growth is the only economic imperative” mindset, consider this from a mission-impact perspective instead. If your ambition was to save 1,000,000 lives per year and you only saved 500,000, is that not enough to persevere? From the for-profit perspective, if you are only earning enough to support yourself, your family, your employees, and your community, isn’t that also a worthy accomplishment? Consider goals carefully and be honest with yourself about what would actually be sufficient — before you do the math!
Lessons Learned
- Math is cool.
- Retention alone results in limited growth.
- Set your level of ambition and calculate your required metrics.
- If you don’t like math, just use trial and error on a spreadsheet.
- Remember to make clear Persevere, Pivot, or Kill decisions.
Need help evaluating your innovation project? 
Try our Innovation Project Evaluation Worksheet
Special thanks to Elijah Eilert for reviewing and giving feedback on this post.
Frequently Asked Questions
What is a retention rate and why does it matter for startups?
A retention rate measures the percentage of customers a company keeps over a given period. As product managers, we should understand that retention acts as an amplifier of growth rather than a standalone engine. A 50% monthly retention rate can double your customer base within 12 months, but retention alone will never produce exponential hockey-stick growth — it always approaches a mathematical limit (asymptote).
Can a high retention rate alone drive exponential growth?
No. Even a 99% retention rate results in limited, asymptotic growth rather than exponential growth. Only a theoretical 100% retention rate could achieve unlimited growth, and as the article puts it, the only places with 100% retention are “the IRS and the graveyard.” To achieve true exponential growth, we need to combine retention with other engines like paid acquisition or viral growth.
What is a good retention rate by industry?
Retention rates vary significantly by industry. Among streaming services, Disney+ and Netflix lead with retention rates around 74%. The most loyalty-driven industries — media and professional services — retain about 84% of their customers. Most companies fall well below these benchmarks, so we should set realistic retention targets based on our specific industry and level of ambition rather than chasing an arbitrary number.
How do you calculate the retention rate needed to hit a revenue goal?
You can use the formula: R = 1 − (C × M / G), where C is monthly customer acquisition, M is monthly revenue per user, and G is your monthly revenue goal. For example, if you acquire 1,000 users per month at $20 each and want $100,000 monthly revenue, you need an 80% retention rate. Alternatively, we can skip the math and use trial and error on a basic financial modeling spreadsheet.
What should you do if your retention rate isn’t meeting your growth goals?
We have four options: persevere by running experiments to improve retention, pivot to a different engine of growth (paid or viral), kill the project if the goals are unachievable, or — the unofficial option — adjust your level of ambition. It’s wise to set clear goals before running experiments so decisions stay rational. Sometimes reaching $5 million instead of $10 million, or saving 500,000 lives instead of 1,000,000, is still a worthy outcome.
Comments
Loading comments…
Leave a comment